User and Publication Statistics

Updated on a monthly basis

1) Publication Statistics

Please help us to keep the list of publications up-to-date by informing us about all of your SHARE based publications. Please send an email to: info@share-project.org. Moreover, remember to follow our citation rules.

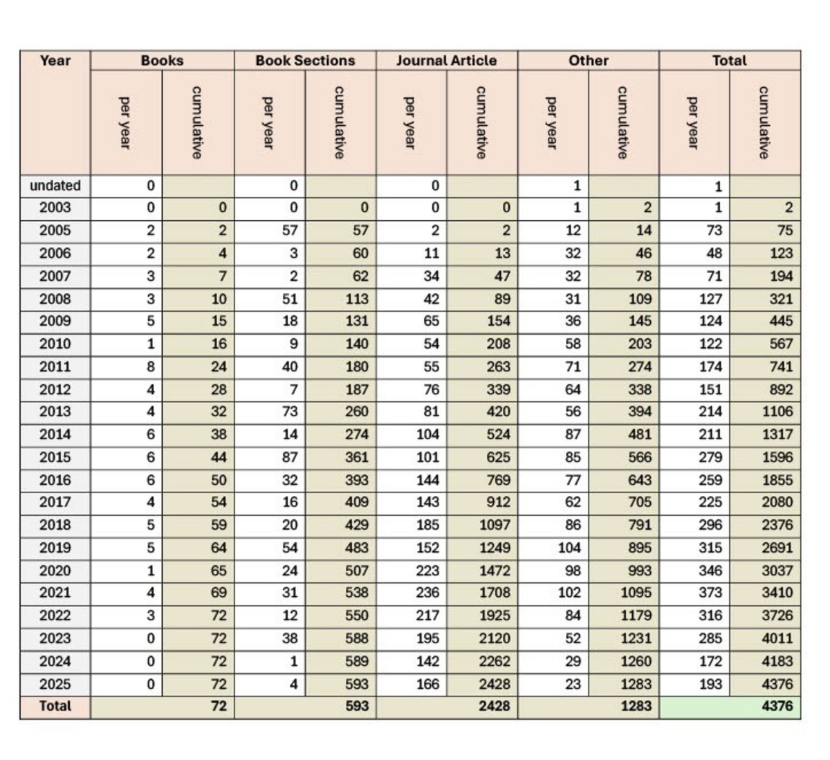
For an overview of the total number of SHARE publications, please refer to following tables:

 

Graphic 1: Publications by Type / Year, December 2024
Graphic 2: Publications by Year (Cumulative), December 2024
updated on a monthly basis

2) User Statistics

Graphic 3: Officially registered SHARE users over time, June 2025
© SHARE-ERIC